根据《安徽省基层医疗卫生专业技术人员公开招聘工作公告》规定,现将安徽省基层医疗卫生专业技术人员公开招聘亳州考点资格复审递补人员予以公布(详见附件)。
一、资格复审时间及地点
2023年3月6日-7日(上午8:00—12:00、下午14:30—17:30)。逾期不办理资格复审者,视为自动放弃,取消其参加专业测试资格。
利辛县复审地点:利辛县淝河路南段西侧卫健委三楼人事股,咨询电话:0558-8832052、0558-8810021,邮箱455303944@qq.com。
二、所需材料
资格复审时,考生应提供本人有效居民身份证、学历(学位)证书、学信网认证的学历认证报告、招聘岗位规定要求的相关证书、证明等原件和复印件和网上打印的笔试准考证(限笔试岗位)和报名资格审查表等材料。
其中:(1)属全日制2022年应届毕业生的,还须提供省级教育主管部门颁发的普通高校毕业生就业报到证。
(2)退役大学生士兵须提供入伍通知书(或入伍批准存根复印件)、退役证明材料。
(3)属国家规定的择业期内未落实工作单位报考“应届毕业生”岗位的,还须根据其身份,相应提供其档案等相关材料所在单位证明,或退役大学生士兵相关证明材料(参考第2条),以及本人关于在择业期内未落实工作单位的书面承诺等材料。
资格复审合格的报考人员,现场领取《安徽省基层医疗卫生专业技术人员公开招聘亳州考点考生资格复审合格通知书》。
凡与报考资格条件要求不符或不能按规定提供证件材料的,取消其参加专业测试资格。出现人选缺额的,依笔试成绩从高分到低分进行递补,递补不超过两次(包括本次)。
专业测试的方式、具体时间和地点等内容将陆续在亳州市卫生健康委网站和有关县政府网站发布,请考生及时主动登录网站了解相关信息。
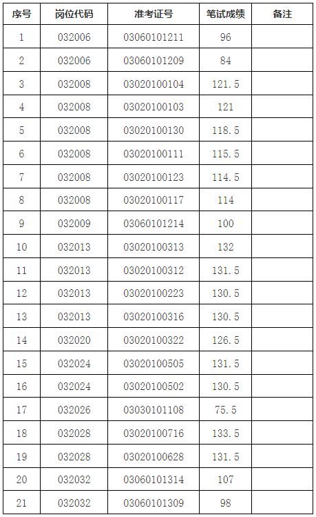
附件:2022年安徽省基层医疗卫生专业技术人员公开招聘亳州考区(利辛县)资格复审递补人员名单
亳州市卫生健康委员会
2023年3月1日
Copyright © 2020 新思路职业培训学校有限公司 版权所有 All Rrghts Reserved.
执业医师考试,执业护士考试,医院招聘考试,健康管理师,中医推拿师,育婴师,执业药师考试,执业药师培训,执业护士培训,执业医师培训,医院考试培训
0551-65639769