
根据蚌埠市第二人民医院2021年(第二批)公开招聘工作人员公告,拟定人员进入体检程序。
现将拟参加体检人员名单及体检安排工作通知如下:
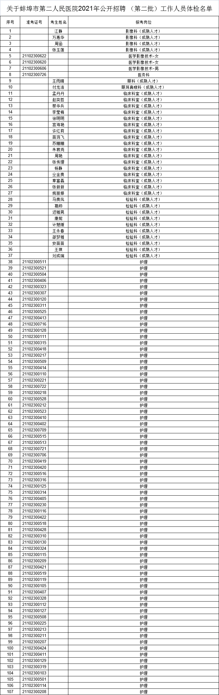
(一)拟参加体检人员名单(详见附件)
如有疑问请联系0552-7128512
(二)体检工作安排
1.受检者《体检表》由蚌埠二院城南体检中心在体检时统一发放。
2.体检时间为2021年11月24日(星期三)上午8:00。
3.受检者携带本人有效身份证,于2021年11月24日(星期三)早上8:00至蚌埠市第二人民医院城南体检中心二楼(地址:蚌山区富民路西100米)统一进行入职体检,体检费用260元/人。
4.参加体检前1日宜正常清淡饮食,少吃或不吃高脂类、不易消化的食物,勿饮酒,勿服用对肝、肾功能有损害的药物,如服减肥药者体检前应停药,体检要检测矫正视力,近视的携带眼镜(请勿佩戴隐形眼镜)。检查前一天晚上八点后禁食、十二点后禁水,保持充足睡眠。
(三)体检要求
1.受检者须配合医生认真检查所有项目,勿漏检。
若自动放弃某一检查项目,将会影响对您的体检结果和录用。
2.按规定受检者须到指定医院进行体检,其它医疗单位的检查结果一律无效。
3.严禁弄虚作假、冒名顶替;如隐瞒病史影响体检结果的,后果自负。
附件:关于蚌埠市第二人民医院2021年公开招聘 (第二批)工作人员体检名单

Copyright © 2020 新思路职业培训学校有限公司 版权所有 All Rrghts Reserved.
执业医师考试,执业护士考试,医院招聘考试,健康管理师,中医推拿师,育婴师,执业药师考试,执业药师培训,执业护士培训,执业医师培训,医院考试培训
0551-65639769